-
화공기사 실기 필답형 - McCabe-Thiele 법을 이용한 정류탑의 설계화공기사 실기/필답형 2021. 4. 21. 15:35
1. 정류탑의 설계 ( McCabe-Thiele 법 )

1) McCabe-Thiele 법의 가정 조건
① 관벽에 의한 열손실이 없고 혼합열도 적어서 무시한다.
② 각 성분의 분자증발 잠열 및 액체의 엔탈피는 탑 내에서 같다.
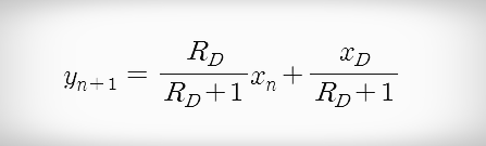
2) 농축부 조작선의 방정식

농축부 조작선의 방정식은 기울기가 Rd/(Rd+1)이고, y절편이 xd/(Rd+1)인 직선의 방정식과 같다.
이때 Rd(환류비) = L/D 이다.
3) 회수부 조작선의 방정식

4) 급송단의 방정식 - q선의 방정식

여기서 q 는 원액이 액체와 증기의 혼합물이라면 액체의 몰분율을 말한다. 1-q는 증기의 몰분율이다.
q 의 정의는 다음과 같다.

q 의 정의 원액이 비점 온도 이하일 때와 과열증기일 때 q 의 값은 다음과 같이 구할 수 있다.


왼쪽 : 원액이 비점 이하일 때, 오른쪽: 원액이 과열증기 일 때 cf. q 선도

q 선도 2. 환류비(Veflux Ratio; R)의 특징
- R는 환류량(L)/유출량(D)으로 정의된다.
- R이 클수록 각 성분의 분리도가 좋다.
- R → ∞ 이면, 유출량(D)=0, 전환류, 최소이론단수라 하며 정류효과는 최대이지만 제품을 얻지 못한다.
- R → 0 이면, 유출량(D)는 증가, 무한대 단수이며 정류는 나빠진다.
- R이 클수록 이론단수는 줄어든다.
- 최소환류비(Rmin)일 때 무한대 단수가 필요하다.
3. 환류비의 영향
① 농축부 조작선의 기울기는 환류비가 증가함에 따라 증가한다.
② Rd = ∞ (전환류)일 때, 최소단수가 되며 탑상유출물은 0, 탑저유출물은 급액량과 같아진다.
③ 최소이론단수(Nmin)는 Fenske 식으로 구할 수 있다.

④ 최소환류비는 Rd = 0 일때이며, 이론단수가 최대가 된다.

최소환류비 ⑤ 최적환류비는 최소환류비의 약 1.5배 이다.
4. 탑효율
1) 총괄효율
- 탑 전체에 필요한 이상단의 수와 실제단수의 비로 정의된다.

2) Murphree 효율
- 한 단과 다음 단 사이의 증기조성변화를 그 단을 나가는 증기가 그 단을 나가는 액체와 평형을 이룬다고 가정할 때 생기는 증기조성의 변화로 나눈 것이다.
'화공기사 실기 > 필답형' 카테고리의 다른 글
화공기사 실기 필답형 - 물질전달 (0) 2021.04.22 화공기사 실기 필답형 - 추출(Extraction) (0) 2021.04.22 화공기사 실기 필답형 - 라울의 법칙, 헨리의 법칙, 비휘발도 (0) 2021.04.21 화공기사 실기 필답형 - 증발관 (0) 2021.04.20 화공기사 실기 필답형 - 복사(Radiation) (0) 2021.04.20